为有效评价毕业要求的达成情况,对各专业的毕业要求进行多 维度的评价,检验和判断专业人才培养质量是否达到预期标准,分 析学生各项能力的长处和短板,为专业教育教学的持续改进提供依 据。特制定明星黑料
毕业要求达成度评价机制和实施办法。
一、评价对象
明星黑料
毕业要求达成度评价对象是明星黑料
各专业每一届当年所有取得毕业证书的毕业生。
二、评价组织及职责
由明星黑料
各专业责任教授牵头成立本专业毕业要求达成度评价工作小组,实施和完成每一届毕业生的毕业要求达成度的评价工作。工作小组主要由教学副院长、院党委副书记、系主任、课程负责人、任课教师、辅导员等构成,工作职责如表 1 所示。
三、评价周期
毕业要求评价周期为每年1次,评价时间为每年6月底学生修完所有课程后进行。
表1 毕业要求达成度评价工作小组的工作职责
序号 |
评价活动 |
相关责任人/机构 |
1 |
组织管理、协调评价工作。 |
教学副院长 |
2 |
制定毕业要求达成度评价标准与具体评价方法。 |
院本科教学指导委员会 |
3 |
组织毕业要求达成度评价工作,实施毕业要求达成度评价、收集并整理反馈信息 |
教学副院长、院党委副书记、系主任、课程负责人、任课教师、辅导员 |
4 |
毕业要求达成度数据分析、研判并形成专业持续改进方案。 |
教学副院长、系主任、课程负责人、任课教师 |
四、评价方法
采用基于课程目标达成度的直接评价法以及基于问卷调查的间接评价法。课程目标达成情况分析法根据每门课程(包括毕业论文/设计)目标达成情况评价结果进行分析汇总,得出毕业要求达成度评价结果;间接评价通过问卷调查应届毕业生和用人单位,综合分析得到达成度评价结果。
(1)直接评价法
① 赋权重值
将毕业要求进行分解得到各条毕业要求的二级指标点,列出支撑每条二级指标点对应的课程,计算每门课程对应的所有二级指标点数量,根据二级指标点的数量为课程进行赋值,所有课程权重之和须为1。
② 计算各项毕业要求指标点的达成度评价值
设第m项毕业要求指标点的达成度Pm由N门课程支持,其中,第i门课程的第j个课程目标支撑该毕业要求指标点,课程目标达成度为Cij、权重为Wi,则第m项毕业要求指标点的达成度评价值按下式计算:

③ 计算各项毕业要求达成度评价值
某项毕业要求达成度评价值的计算方法为:取该项毕业要求各指标点达成度最小值作为该项毕业要求达成度的评价值,设第n项毕业要求达成度评价值为Rn,其计算方法如下式所示:
,
式中,M为支撑第n项毕业要求的指标点个数。
④ 毕业要求达成度的总体评价
设某毕业要求共有L项,取L项毕业要求达成度的最小值,作为专业的毕业要求达成度G,如下式所示:
,
(2)基于问卷调查的间接评价法
通过向受访者发放问卷调查进行毕业要求达成度评价。
①样本来源:全体应届毕业生、用人单位;
②设计评分表,根据毕业要求进行打分(5分制);
③汇总评价结果,将1-5档对应计算值1-5分,计算出各分项的评价结果;
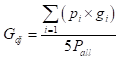
④对于每项毕业要求,最终分数取各分项的最低分,得到每项毕业要求的评价结果,计算毕业要求的达成度,毕业要求的达成度通过下式计算:

其中,
为第i档的人数,
为第i档的分值(5-完全达成、4-达成、3-基本达成、2-基本不达成、1-完全不达成),
为所有有效问卷数,
为通过调查问卷获得的第j个毕业要求达成度。
(3)基于毕业生问卷调查及调研的定性评价法
各专业可以根据本专业毕业要求各指标点设计能力评价类的 问题,通过在毕业生中开展问卷调查法获得毕业生的自评结果;也可以通过召开毕业生座谈会、调研毕业生实习单位等方法,调研毕业生的能力达成情况。
五、评价结果的分析与反馈
各专业在认真分析和总结本专业毕业要求达成度总体评价结果的基础上,形成《**专业**届毕业要求达成度评价分析及持续改进报告》。该分析报告应针对每一条毕业要求的达成情况进行全面分析和总结,并针对发现的问题提出持续改进的意见和建议。报告由各专业责任教授和系主任提交给明星黑料
,明星黑料
组织院本科教学指导委员会对各专业的毕业要求达成度评价进行审核。
六、毕业要求评价达成标准
根据《南京农业大学授予学士学位执行细则》,学生被授予学士学位的必要条件之一是“修满教学计划规定的全部课程,且平均学分绩点大于或等于2.0”,2.0绩点对应于百分制成绩的70分,因此将学生毕业要求达成目标值规定为0.7(70%)。
明星黑料
2021年4月25日